Intrusion of upper molars with mini-implants for open bite correction is effective? A systematic review
DOI:
https://doi.org/10.14295/bds.2018.v21i4.1603Abstract
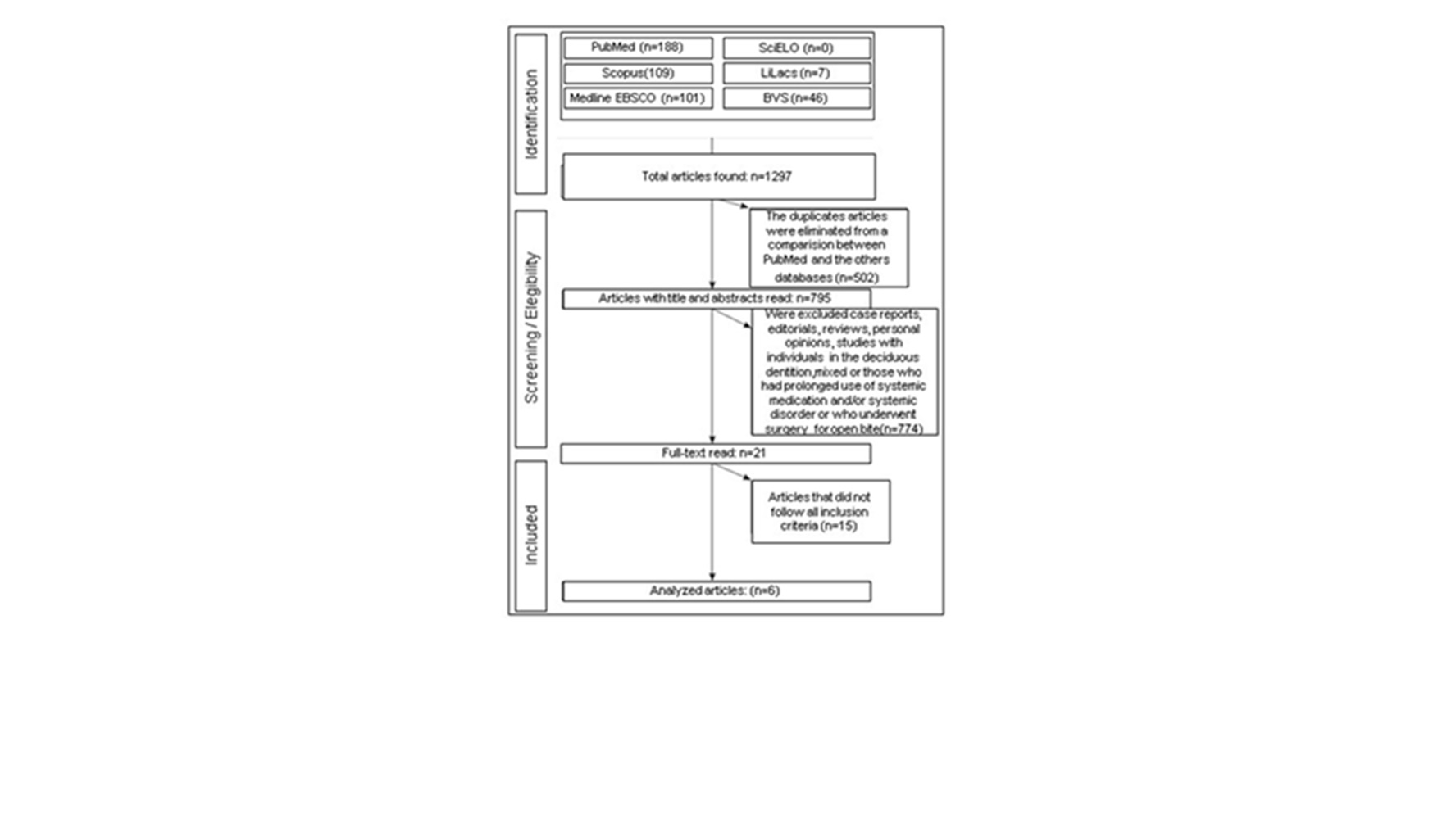
Introduction: The open bite is a malocclusion defined by the absence of a positive vertical overlap of the upper incisors over the lower ones. It is believed that the correction of this malocclusion with mini-implants is as effective as another technique. Objective: To verify by scientific evidence the effectiveness of upper molar intrusion with mini-implants for correction of open bite. Material and Methods: This systematic review was conducted according to the PRISMA guidelines. Cochrane Handbook for Systematic Reviews of Interventions (version 5.3) was used to assess the methodological quality and risk of bias of the included studies. Results: During the selection and evaluation process, 795 of the 1297 papers were eligible for research in their titles and abstracts. Repeated articles were removed and as a result, 21 articles were retrieved and read completely. Those who did not meet the inclusion criteria were excluded, resulting in only 6 articles that were included. Conclusion: The intrusion of the upper molars with the use of mini-implants as a skeletal anchor is effective for open bite correction. When the technique of upper molar intrusion with mini-implants was compared with the technique of posterior high pull and incisor extrusion, the first one was more effective for the correction of open bite. The recurrence of molar intrusion does not invalidate mini-implant treatment for open bite correction because the benefits achieved outweigh the small dental relapse.Keywords Orthodontics, corrective; Tooth intrusion; Open bite.Downloads
Downloads
Additional Files
Published
How to Cite
Issue
Section
License
Brazilian Dental Science uses the Creative Commons (CC-BY 4.0) license, thus preserving the integrity of articles in an open access environment. The journal allows the author to retain publishing rights without restrictions.
=================





















